+86-20-3855-1181 Vistas:0 Autor:Editor del sitio Hora de publicación: 2025-11-24 Origen:Sitio
Las principales manifestaciones de la inflamación de la piel son los cinco signos clave: enrojecimiento, hinchazón, calor, dolor y picazón.
Síntomas básicos: Enrojecimiento, hinchazón, calor, acompañados de sensación de escozor o ardor en algunos casos.
Picazón: varía de leve a intensa y a menudo deja marcas de rasguño.
Anomalías de la piel: sequedad y descamación, pápulas, ampollas; en casos severos, supuración, formación de costras, erosión e incluso ulceración.
El control eficaz de la inflamación no sólo mejora los problemas actuales de la piel, sino que también es la clave para prevenir problemas futuros y retrasar el envejecimiento de la piel. Al comprender las causas y manifestaciones de la inflamación, podemos tomar decisiones más específicas sobre los ingredientes del cuidado de la piel y los estilos de vida para proteger la salud de la piel desde su origen.
Cuando se produce enrojecimiento o picazón repentinos, es esencial una intervención calmante inmediata. Elija productos para el cuidado de la piel centrados en efectos antiinflamatorios y calmantes para combatir las molestias y aliviar rápidamente la respuesta de la piel al estrés.
La inflamación daña la barrera protectora natural de la piel, lo que reduce la capacidad de retener la humedad. Utilice productos dedicados a la reparación de la barrera para ayudar a reconstruir la capa protectora de la piel y restaurar su capacidad para resistir irritantes externos.
La antiinflamación no es una solución temporal, sino que requiere un cuidado diario constante. Opte por productos para el cuidado de la piel suaves y no irritantes, combinados con un horario regular y una dieta saludable, para mantener la condición de la piel estable de adentro hacia afuera.
La antiinflamación eficaz se basa en la coordinación de efectos multidimensionales. Seleccione productos con los beneficios tres en uno de antiinflamación, humectación y reparación para crear un sistema de protección integral, que reduce fundamentalmente la inflamación recurrente.
Para abordar el problema de la inflamación, hoy presentamos un ingrediente antiinflamatorio verdaderamente eficaz: Hony D001. Puede calmar la inflamación de la piel, ayudar a mejorar el enrojecimiento, el escozor y otros problemas de sensibilidad, y restaurar la piel a un estado saludable.
¡A continuación, exploremos los efectos sobresalientes de este ingrediente estrella!


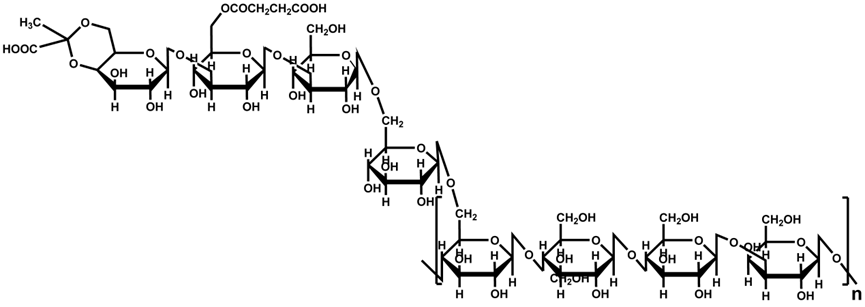
Hony D001 se deriva de polisacáridos naturales, una clase de polímeros biomacromoleculares estructuralmente muy diversos. Los polisacáridos están unidos con precisión por unidades de monosacáridos a través de enlaces glicosídicos, y algunos pueden unirse además con péptidos, aminoácidos o lípidos para formar combinaciones complejas de residuos de azúcar, sentando una base sólida para su excelente actividad biológica.
Origen natural, buena compatibilidad con la piel.
Producido por fermentación industrial, con calidad controlable.
Funciones diversificadas, efectos notables.
Mecanismo de acción claro
Excelente compatibilidad con otras materias primas
Alta seguridad biológica
Ya sea que se trate de irritación ambiental o daño de la piel, Hony D001 puede ejercer efectos antiinflamatorios y reparadores específicos, satisfaciendo diversas necesidades diarias de cuidado de la piel.
La radiación ultravioleta (UV) puede provocar eritema cutáneo, engrosamiento epidérmico y pérdida de colágeno. Hony D001 alivia las reacciones de las quemaduras solares a través de su actividad antiinflamatoria, al tiempo que reduce la producción de melanina para aliviar la opacidad y el enrojecimiento post-sol.
Para problemas de la piel relacionados con la inflamación, como la dermatitis atópica, reduce los niveles de factores inflamatorios de la piel, mejora la función de barrera y reduce molestias como la hinchazón y la picazón. El uso prolongado puede reducir la sensibilidad de la piel.
Durante el proceso de cicatrización de la herida, su efecto antiinflamatorio minimiza la interferencia de la inflamación en la reparación del tejido. Mientras tanto, combinado con sus propiedades humectantes, crea un ambiente favorable para la reparación de la piel y acelera la recuperación de la piel dañada.
Hony D001 reduce la respuesta inflamatoria de las células de la piel.
Hony D001 inhibe la respuesta inflamatoria de los macrófagos.
Hony D001 cuenta con la doble ventaja de una alta seguridad y una notable eficacia antiinflamatoria. En aplicaciones para el cuidado de la piel, puede calmar eficazmente la inflamación de la piel sin causar daño celular, lo que lo convierte en un ingrediente funcional ideal para el cuidado de la piel.
Los datos experimentales confirman que Hony D001 puede penetrar rápidamente hasta las capas profundas de la piel, calmando simultáneamente múltiples síntomas inflamatorios como enrojecimiento, hinchazón y escozor, proporcionando así una solución de reparación científica y eficiente para la piel sensible.
Limpiador facial: Limpieza suave para prevenir el enrojecimiento posterior a la limpieza.
Esencia: Calmante específico para reducir rápidamente el enrojecimiento.
Mascarilla facial: Reparación intensiva para mejorar la función barrera de la piel.
Crema Facial: Hidratación duradera para construir una red protectora
Champú: Calma la inflamación del cuero cabelludo y mejora el entorno del folículo piloso.
Gel de baño: alivia el acné corporal y los problemas de sensibilidad.
Loción Corporal: Repara la barrera cutánea y proporciona una hidratación duradera.
【Experiencia】 ¡Nuevos productos con Hony D001 ya están disponibles!
【Contáctenos】 ¡Obtenga un conocimiento más profesional del producto!
Hogar | Sobre nosotros | Productos | Innovación | Apoyo | Noticias | Contacto